1157: 力
Memory Limit:256 MB
Time Limit:3.000 S
Judge Style:Special Judger
Creator:
Submit:1
Solved:0
Description
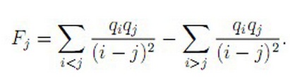
给出n个数qi,给出Fj的定义如下:

令Ei=Fi/qi,求Ei.
Input
第一行一个整数n。
接下来n行每行输入一个数,第i行表示qi。
n≤100000,0<qi<1000000000
Output
n行,第i行输出Ei。与标准答案误差不超过1e-2即可。
Sample Input Copy
5
4006373.885184
15375036.435759
1717456.469144
8514941.004912
1410681.345880
Sample Output Copy
-16838672.693
3439.793
7509018.566
4595686.886
10903040.872
HINT
对于 30%的数据,n≤1000。
对于 50%的数据,n≤60000。
对于 100%的数据,n≤100000,0<qi<1000000000。
对于 50%的数据,n≤60000。
对于 100%的数据,n≤100000,0<qi<1000000000。