1104: 多项式输出

Memory Limit:125 MB Time Limit:1.000 S
Judge Style:Text Compare Creator:
Submit:4 Solved:0

Description

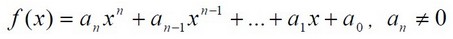
一元n次多项式可用如下的表达式表示:

其中,aixi称为i次项,ai称为i次项的系数。给出一个一元多项式各项的次数和系数,请按照如下规定的格式要求输出该多项式:

1. 多项式中自变量为x,从左到右按照次数递减顺序给出多项式。

2. 多项式中只包含系数不为0的项。

3. 如果多项式n次项系数为正,则多项式开头不出现“+”号,如果多项式n次项系数为负,则多项式以“-”号开头。

4. 对于不是最高次的项,以“+”号或者“-”号连接此项与前一项,分别表示此项系数为正或者系数为负。紧跟一个正整数,表示此项系数的绝对值(如果一个高于0次的项,其系数的绝对值为1,则无需输出1)。如果x 的指数大于1,则接下来紧跟的指数部分的形式为“x^b”,其中b为x的指数;如果x的指数为1,则接下来紧跟的指数部分形式为“x”;如果x的指数为0,则仅需输出系数即可。

5. 多项式中,多项式的开头、结尾不含多余的空格。


Input

每组输入数据共有2行。

第一行1个整数n,表示一元多项式的次数。

第二行有n+1个整数,其中第i个整数表示第n-i+1次项的系数,每两个整数之间用空格隔开。


数据规模:

1n 100,多项式各次项系数的绝对值均不超过100

Output

每组输出共1行,按题目所述格式输出多项式。


Sample Input Copy

5
100 -1 1 -3 0 10

3
-50 0 0 1

Sample Output Copy

100x^5-x^4+x^3-3x^2+10

-50x^3+1

Source/Category